Download Oracle Cloud Infrastructure 2023 Architect Associate.1z0-1072-23.ExamTopics.2025-08-03.57q.vcex

Vendor: Oracle
Exam Code: 1z0-1072-23
Exam Name: Oracle Cloud Infrastructure 2023 Architect Associate
Date: Aug 03, 2025
File Size: 366 KB

How to open VCEX files?

Files with VCEX extension can be opened by ProfExam Simulator.

Demo Questions

Question 1
Which THREE protocols are supported by the Oracle Cloud Infrastructure (OCI) private Network Load Balancers?
  1. HTTP
  2. UDP
  3. ICMP
  4. TCP
  5. iSCSI
  6. BGP
Correct answer: BCD
Explanation:
ABD: 1ACD: 1BCD: 4 - Mosted
ABD: 1ACD: 1BCD: 4 - Mosted
Question 2
A financial firm is designing an application architecture for its online trading platform that should have high availability and fault tolerance.
Their solutions architect configured the application to use an Oracle Cloud Infrastructure (OCI) Object Storage bucket located in the US West (us-phoenix-1) region to store large amounts of financial data. The stored financial data in the bucket should not be impacted even if there is an outage in one of the Availability Domains or a complete region.
What should the architect do to avoid any costly service disruption and ensure data durability?
  1. Create a lifecycle policy to regularly send data from the Standard to Archive storage.
  2. Create a replication policy to send data to a different bucket in another OCI region.
  3. Copy the Object Storage bucket to a block volume.
  4. Create a new Object Storage bucket in another region and configure lifecycle policy to move data every 5 days.
Correct answer: B
Explanation:
B: 5 - Mosted
B: 5 - Mosted
Question 3
As your company's cloud architect, you have been invited by the CEO to join his staff meeting. They want your input on interconnecting Oracle Cloud Infrastructure (OCI) to another cloud provider in London, with some specific requirements:
They want resources in the other cloud provider to leverage OCI Autonomous Data Warehouse ML capabilities.
The connection between OCI and the other cloud provider should be provisioned as quickly as possible.
The connection should offer high bandwidth and predictable performance.
Which other cloud provider should you recommend to interconnect with OCI and meet the above requirements?
  1. IBM Cloud
  2. Microsoft Azure
  3. Digital Ocean
  4. Amazon Web Services
  5. Google Cloud
  6. OCI
  7. Alibaba Cloud
Correct answer: B
Explanation:
B: 6 - Mosted
B: 6 - Mosted
Question 4
You have a block volume created in the US West (Phoenix) region. You enabled Cross Region Replication for the volume and selected US West (San Jose) as the destination region. Now, you would like to create a new volume from the volume replica in the US West (San Jose) region.
What should you do?
  1. Initiate the replica.
  2. Activate the replica.
  3. No action required. By default, the replica is available as a block volume.
  4. Trigger the replica.
Correct answer: B
Explanation:
B: 2 - MostedC: 1
B: 2 - MostedC: 1
Question 5
Which is NOT a valid statement regarding the Oracle Cloud Infrastructure (OCI) Audit service?
  1. Retention period for Audit logs is 365 days and it cannot be changed.
  2. Audit logs are displayed for Compartments.
  3. Audit service can record REST API calls executed by a custom client.
  4. Changes within the objects stored in an Object Storage bucket are collected as Audit logs.
Correct answer: D
Explanation:
A: 3D: 5 - Mosted
A: 3D: 5 - Mosted
Question 6
You have three compartments: ProjectA, ProjectB, and ProjectC. For each compartment, there is an admin group set up: A-Admins, B-Admins, and C-Admins.
Each admin group has full access over their respective compartments as shown in the graphic below.
Your organization has set up a tag namespace, EmployeeGroup.Role and all your admin groups are tagged with a value of 'Admin'.
You want to set up a Test compartment for members of the three projects to share. You also need to provide admin access to all three of your existing admin groups.
Which policy would you write to accomplish this task?
  1. Allow all-group to manage all-resources in compartment Test where request.principal.group.tag.EmployeeGroup.Role='Admin'
  2. Allow dynamic-group to manage all-resources in compartment Test where request.principal.group.tag.EmployeeGroup.Role='Admin'
  3. Allow any-user to manage all-resources in compartment Test where request.principal.group.tag.EmployeeGroup.Role='Admin'
  4. Allow group any-group to manage all-resources in compartment Test where request.principal.group.tag.EmployeeGroup.Role='Admin'
Correct answer: C
Explanation:
B: 1C: 4 - Mosted
B: 1C: 4 - Mosted
Question 7
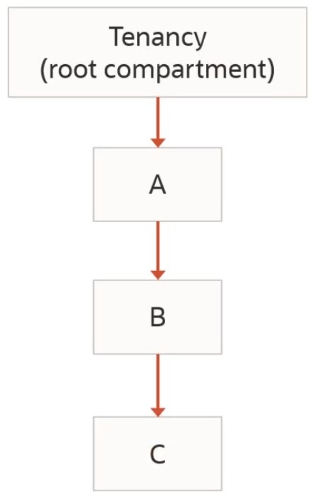
You want to create a policy to allow the NetworkAdmins group to manage Virtual Cloud Network (VCN) in compartment C. You want to attach this policy to the tenancy. The compartment hierarchy is shown below.
Which policy statement can be used to accomplish this task?
  1. Allow group NetworkAdmins to manage virtual-network-family in compartment C
  2. Allow group NetworkAdmins to manage virtual-network-family in compartment A:B:C
  3. Allow group NetworkAdmins to manage virtual-network-family in tenancy
  4. Allow group NetworkAdmins to manage virtual-network-family in compartment B:C
Correct answer: B
Question 8
Which TWO are key benefits of setting up Site-to-Site VPN on Oracle Cloud Infrastructure (OCI)? (Choose two.)
  1. When setting up Site-to-Site VPN, it creates a private connection that provides consistent network experience.
  2. When setting up Site-to-Site VPN, customers can expect bandwidth above 2 Gbps.
  3. When setting up Site-to-Site VPN, OCI provisions redundant VPN tunnels.
  4. When setting up Site-to-Site VPN, customers can configure it to use static or dynamic routing (BGP).
Correct answer: CD
Question 9
You have objects stored in an OCI Object Storage bucket that you want to share with a partner company. You decide to use pre-authenticated requests to grant access to the objects.
Which statement is true about pre-authenticated requests?
  1. Deleting a pre-authenticated request does not revoke user access to the associated bucket or object.
  2. You need to provide your OCI credentials to the partner company.
  3. Pre-authenticated requests can be used to delete buckets or objects.
  4. You cannot edit a pre-authenticated request.
Correct answer: D
Explanation:
D: 1 - Mosted
D: 1 - Mosted
Question 10
You are responsible for deploying an application on Oracle Cloud Infrastructure (OCI). The application is memory intensive and performs poorly if enough memory is not available. You have created an instance pool of Linux compute instances in OCI to host the application and defined Autoscaling Configuration for the instance pool.
What should you do to ensure that the instance pool autoscales to prevent poor application performance?
  1. Install OCI SDK on all compute instances and create a script that triggers the autoscaling event if there is high memory usage.
  2. Configure the autoscaling policy to monitor CPU usage and scale up the number of instances when it meets the threshold.
  3. Install the monitoring agent on all compute instances, which triggers the autoscaling group.
  4. Configure the autoscaling policy to monitor memory usage and scale up the number of instances when it meets the threshold.
Correct answer: D
Explanation:
D: 2 - Mosted
D: 2 - Mosted
Question 11
Which Oracle Cloud Infrastructure (OCI) Identity and Access Management (IAM) policy is invalid?
  1. Allow group A-Developers to create volumes in compartment Project-A
  2. Allow group A-Admins to manage all-resources in compartment Project-A
  3. Allow any-user to inspect users in tenancy
  4. Allow dynamic-group FrontEnd to manage instance-family in compartment Project-A
Correct answer: A
Explanation:
A: 5 - Mosted
A: 5 - Mosted
HOW TO OPEN VCE FILES

Use VCE Exam Simulator to open VCE files
Avanaset

HOW TO OPEN VCEX FILES

Use ProfExam Simulator to open VCEX files
ProfExam Screen

ProfExam
ProfExam at a 20% markdown

You have the opportunity to purchase ProfExam at a 20% reduced price

Get Now!